HSB BRF
Kvisten i Skellefteå
  • Sök
  • Logga in
  • Om Föreningen
  • Nyheter
  • Kalendarium
  • Boendeinformation
  • Kontakt
    • Sökikon Sök
    • Logga in logo Logga in
    • Välj HSB förening för att se regionalt anpassat innehåll. Sökikon Välj HSB-förening
    Huvudmeny
    • Hem
    • Boendeinformation
    • Årsmötesprotokoll Brf Kvisten
    • Årsmöte 2023
    Boendeinformation
      • Information till dig som bor i Brf Kvisten
      • Bokning av våra gemensamma lokaler
      • Stadgar HSB Brf Kvisten
      • Energideklaration
      • BRF Kvisten
      • Medlemserbjudanden
      • Årsmötesprotokoll Brf Kvisten
        • Årsmöte 2025
        • Årsmöte 2024
        • Årsmöte 2023
      • Årsredovisning Brf Kvisten
      • Målarfärg till vindskydd och förrådsdörr
      • Försäkring
      • Besöksparkering
      • Kvistposten
      • Motorvärmare
      • TV
      • Bredband
      • Telefoni

    Årsmöte 2023

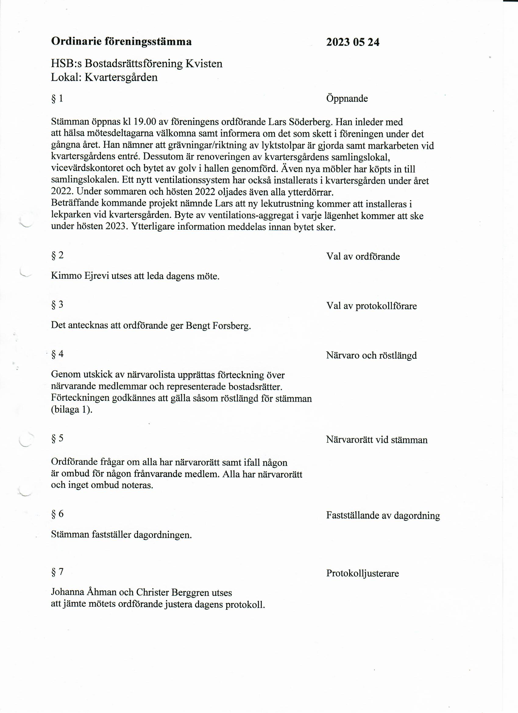
    Årsmötesprotokoll sida 1.png Hämta
    Årsmötesprotokoll sida 2.png Hämta
    Årsmötesprotokoll sida 3.png Hämta
    Årsmötesprotokoll sida 4.png Hämta

    BRF Kvisten i Skellefteå

    Kvistgatan
    931 58
    Skellefteå
    vicevard@kvisten.se

    Besök HSB.se
    Läs mer om cookies här
    Cookieinställningar
    Redigera hemsida